طول مهاری میلگرد به جهت اطمینان از جاری شدن میلگرد در مقطع بحرانی حائز اهمیت می باشد و به روش های زیر قابل اجرا می باشد.
1- مهار توسط پیوستگی بین بتن و جداره میلگرد که از طریق تعبیه طول مناسب میلگرد تامین می شود.
2- مهار توسط قلاب استاندارد
3- مهار مبتنی بر فشار اتکایی که با تامین تکیه گاه اتکایی در انتهای میلگرد حاصل می شود.
4- مهار مکانیکی که از طریق ابزارهای مکانیکی خاص نظیر کوپلر
سیم های آجدار و میلگردهای تحت کشش
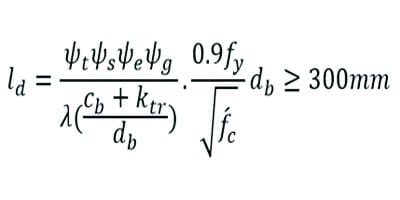
مهار آرماتورهای کششی به طور مستقیم یکی از ساده ترین روش های تامین طول مهاری می باشد. در این روش طول مهاری از رابطه زیر به دست می آید:
در این رابطه Cb کوچکترین فاصله مرکز میلگردی که مهار می شود تا رویه بتن و یا نصف فاصله مرکز تا مرکز میلگردهایی که مهار می شوند می باشد. Ktr شاخص آرماتورهای عرضی بوده و از رابطه زیر به دست می آید که در آن S فاصله میلگردهای عرضی، n تعداد میلگردهای طولی که مهار می شوند و Atr مساحت آرماتورهای عرضی در ناحیه مهار آرماتورهای طولی می باشد که شامل سنجاقی ها نیز می شود.
پارامترهای دیگر از جدول ذیل به دست می آید:
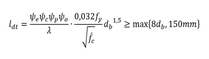
طول مهاری با قلاب استاندارد تحت کشش
یکی از روش های مهار میلگرد استفاده از قلاب استاندارد می باشد که طول آن از رابطه زیر به دست می آید و این طول از بر ستون یا دیوار تا انتهای خارجی میلگرد می باشد.
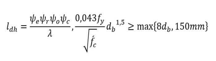
طول مهاری برای میلگردهای آجدار سردار در کشش
یکی از انواع میلگردهای مصرفی در سازه ها، میلگردهای آجدار سردار می باشند. در واقع در این میلگردها در ناحیه انتهایی، از یک افزایش سطح موضعی استفاده شده که از این طریق نیروی میلگردها توسط مکانیزم چسبندگی در طول میلگرد و تنش اتکایی در انتهای میلگرد به بتن انتقال خواهد یافت. طول مهاری میلگرد از نوع سردار به صورت زیر محاسبه می شود.
Ath مساحت کل تنگ ها و خاموت های محصور کننده میلگرد مهار شده با قلاب که در طول حداقل 0.75Ldh از انتهای خم میلگرد بکار رفته است می باشد.
Ahs مساحت کل میلگرد های مهار شده می باشد.
ضرایب دیگری که در رابطه مورد استفاده قرار گرفته اند به شرح جدول ذیل می باشد.
در میلگردهای سردار حداکثر قطر میلگرد برابر با 34 میلمتر بوده و مساحت انتهای میلگرد باید حداقل چهار برابر سطح خود میلگرد باشد.
در ارتباط با محاسبه طول مهاری میلگردها علاوه بر روابط بالا، ضوابط مربوط به بخش طراحی سازه در برابر زلزله نیز می بایست کنترل شود.
با موضوع سازه های بتنی می توانید مقاله مربوط به سقف وافل را مطالعه نمایید.
